科技、数学期刊排版时经常使用MathType公式编辑器作为word文档的辅助工具,可编辑文档中的所有公式。掌握MathType公式编辑器的使用方法,有利于加快排版速度。本文将介绍几种MathType公式编......
2021-09-28 103 MathType在期刊排版中的应用
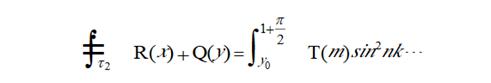
从理论上讲,有环积分中的积分函数式需要排在两个积分号的居中位置。本教程将详解有环积分的单行数式排列规则。有环积分样式如下:

在这个数式中,积分函数式“T(m) nk…”、“R(x)+Q(y)”应与“=”对齐,排在两个积分号的居中位置,不能与底线平齐。下面的排法是不正确的:

积分号上下限原则上应该排在它的上面和下面,一般用七号字。如:

在格式上,当上下限在积分号上面和下面时,不能排在上和下的居中位置,而是上限偏右,下限偏左。但如果只有一个积分号时,上下限可以排在右面,既节约版面,也简化了排版手续。如:

相关文章
科技、数学期刊排版时经常使用MathType公式编辑器作为word文档的辅助工具,可编辑文档中的所有公式。掌握MathType公式编辑器的使用方法,有利于加快排版速度。本文将介绍几种MathType公式编......
2021-09-28 103 MathType在期刊排版中的应用
MathType应用比较广泛,可以适用于700+种应用程序和网站,其中MathType与Microsoftoffice就有着很好的兼容性,单击word文档中的插入-对象-MathType6.0equation,即可打开MathType公式编辑器界面,在编辑框......
2021-09-28 462 MathType应用教程
在制作图形标注时,人们往往采用文本框加文字的方式,但文本框的边框样式及内部边距都要设一遍,操作起来比较繁琐,往往都是几个文本框叠加在一起,很难将他们分辨出来,使用MathTyp......
2021-09-28 179 MathType数学公式编辑器 MathType设置图形标注