excel拖动排列步骤如下:1.我在EXCEL中输入以下数字,如图:2.现在我要想复制“1”,则拖动单元格A1,但此该你会发现,在下拖动下方有个方框,如图:3.上步出现的情况便是以顺序的方式出现,但你只需要点动那个右下方的方框,选择“复制单元格”即可......
Excel中SERIESSUM函数的语法和用法
Excel教程
2021-11-13 11:04:05
本文介绍Microsoft Excel中SERIESSUM函数的语法和用法。
函数说明
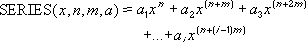
SERIESSUM函数的主要作用是返回基于以下公式的幂级数之和:

许多函数可由幂级数展开式近似地得到。
如果该函数不可用,并返回错误值 #NAME?,请安装并加载“分析工具库”加载宏。可以参考文章:Office2003安装并加载“分析工具库”加载宏
函数语法
SERIESSUM(x,n,m,coefficients)
SERIESSUM(幂级数的输入值,x 的首项乘幂,级数中每一项的乘幂 n 的步长增加值,一系列与 x 各级乘幂相乘的系数)
参数说明
X:幂级数的输入值。
N:为 x 的首项乘幂。
M:为级数中每一项的乘幂 n 的步长增加值。
Coefficients:为一系列与 x 各级乘幂相乘的系数。coefficients 值的数目决定了幂级数的项数。例如,coefficients 中有三个值,幂级数中将有三项。
函数备注
如果任一参数为非数值型,函数 SERIESSUM 返回错误值 #VALUE!。
函数示例
| Coefficients |
| 0.785398163 |
| 1 |
| -0.5 |
| 0.041666667 |
| -0.001388889 |
| 公式 | 结果 | 说明 |
| =SERIESSUM(A2,0,2,A3:A6) | 0.707103215 | pi/4 弧度或 45 度的余弦值的近似值 |
以下是Excel中使用SERIESSUM函数效果截图

标签: SERIESSUM函数
相关文章
