Excel中经常需要使用到自动求和公式,自动求和具体该如何操作呢?接下来小编举例简单的例子告诉大家excel设置自动求和公式的方法。excel设置自动求和公式的方法设置自动求和公式步骤1:将鼠标放在要求和数据区域的紧挨着的下面一个单元格,如下图的D10单元格,然后点击【开始】-【自动求和】按钮就可以自动求D......
如何利用Excel的 KURT函数 计算数据集峰值
Excel函数
2021-11-17 11:38:47
KURT函数用于返回数据集的峰值。峰值反映与正态分布相比某一分布的尖锐度或平坦度。正峰值表示相对尖锐的分布。负峰值表示相对平坦的分布。KURT函数的语法如下:
KURT(number1,number2,...)
其中,参数number1、number2……是用于计算峰值的1~255个参数。也可以不用这种用逗号分隔参数的形式,而用单个数组或对数组的引用。下面通过实例详细讲解该函数的使用方法与技巧。
打开“KURT函数.xlsx”工作簿,切换至“Sheet1”工作表,本例中的原始数据如图18-78所示。该工作表中记录了一组数据,要求计算出上述数据集的峰值。具体的操作步骤如下。
选中A13单元格,在编辑栏中输入公式“=KURT(A2:A11)”,用于计算给定数据集的峰值,输入完成后按“Enter”键返回计算结果,如图18-79所示。

图18-78 原始数据

图18-79 计算峰值
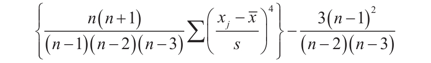
参数可以是数字或者包含数字的名称、数组或引用。逻辑值和直接键入参数列表中代表数字的文本被计算在内。如果数组或引用参数包含文本、逻辑值或空白单元格,则这些值将被忽略;但包含零值的单元格将计算在内。如果参数为错误值或为不能转换为数字的文本,将会导致错误。如果数据点少于4个,或样本标准偏差等于0,函数KURT返回错误值“#DIV/0!”。峰值的计算公式如下:

s为样本的标准偏差。
相关文章
